free fall equation for height
T 2 h g t 2 h g. Because the objects starting velocity in free fall is 0 msec and the acceleration acted upon is gravitys acceleration g 98 msec 2 The equation will be.
Free Fall Formula Physics Free Fall Problems With Solutions
Calculate the maximum height and velocity of the ball before it crashes the ground.
. The free-fall motion formula covers the following equations for a falling body. There are many examples of free fall in our environment from which the free fall meaning can be understood even better. H 12gt 2 m.
The next-to-last equation becomes grossly inaccurate at great distances. G10ms² Example An object does free fall motion. First Law of Motion.
The calculator uses the standard formula from newtonian physics to figure out how long before the falling object goes splat. Which is moving with higher velocity. If you know the height from which the object is falling but dont know the time of fall you can use this calculator to find it too.
Find the free fall distance using the equation s 12gt² 05 980665 8² 3138 m. The maximum height formula free fall is. V f 98 ms 2 6 s 588 ms At t 8 s v f 98 ms 2 8 s 784 ms The distance that a free-falling object has fallen from a position of rest is also dependent upon the time of fall.
Eqvv_ 0-gt eq eqsv_ 0t-frac 1 2gt 2 eq eqv. On Jupiter this value is different. If an object is merely dropped as opposed to being thrown from an elevated height then the initial velocity of the object is 0 ms.
4 rows The formula for free fall. When an object is thrown upward or straight up with an initial velocity the object is still subject to gravity. H 1 2 g t 2.
Since the objects initial velocity is zero substitute u 0 in the equations to motions and we get. V Velocity of iron gt 98 ms 2 5s 49 ms. The cotton falls after 3 s and iron falls after 5 s.
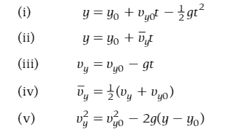
The Velocity in free fall is autonomous of mass. H frac 1 2g t2 3. Where These equations can be derived from the usual equations of motion as given below by substituting.
H 2401 m. Velocity is defined as gravity x time. H is the height of the free fall.
Velocity is defined as gravity x time. It hits the ground after 4 seconds. Give a few examples of the Free Fall Concept for better understanding.
D 05 g t2. The free velocity formula is. The formula for the final velocity of free fall is.
The maximum height formula free fall is. Calculate Height by two angles and their separation. Distance-time law which you can use to calculate the fall height during a free fall given the time and gravitational acceleration.
From the data we see that 20 10 ms 2 or 50 10 ms 5. Example John throws the ball straight upward and after 1 second it reaches its maximum height then it does free fall motion which takes 2 seconds. As free fall acceleration formula is given as.
In general v g t. Free Fall Formula Click Here for Sample Questions Free fall formula is v 2 2gh. This formula was updated by Alexander Fufaev on 0319.
Now if we want to know the free fall distance using the formula s 05 g t2 05 980665 152 220650 m check with the free fall calculator. For a freely falling object we have the free fall kinematics equations. Imagine an object body is falling freely for time t seconds with.
H 05 98 7 2. V gt ms. Distance Height of Free Fall.
G is the acceleration due to gravity. You are being redirected to Course Hero. S V_o t frac12 g t2 S 0 30 frac12 981 left30right2 S 1650 05 981 900 S 179715 m Apart from the manual calculations try using a free fall calculator to speed up your calculations.
Formula Free fall Inclined plane Velocity Starting height Height Formula. Hence it is given as. The formula for the final velocity of free fall is.
Free fall means that an object is falling freely with no forces acting upon it except gravity a defined constant g -98 ms 2. V gt 2. On other planets eg.
This formula was added by Alexander Fufaev on 03192022 - 1406. The first equation shows that after one second an object will have fallen a distance of 12 98 1 2 49 m. Consider an object falling freely from a height h travels for time t seconds acquiring a final velocity v under the acceleration due to gravity g.
The distance the object falls or height h is 12 gravity x the square of the time falling. Calculate Height by Angle and Distance. Whether explicitly stated or not the value of the acceleration in the kinematic equations is -98 mss for any freely falling object.
V2 2gh. U0msec a g 98 msec 2. The maximum height formula free fall is.
Free fall velocity formula. Duration Time of Free Fall. The motion of a spacecraft is also an example of the motion of an object under free fall.
Free fall Inclined plane v sqrt2g h_0 - h v sqrt2g h_0 - h h_0 h frac v2 2g h h_0 - frac v2 2g g frac v2 2h_0 - h. This distance can be computed by use of a formula. Final Velocity of a Free Fall.
It hits the ground after 4 seconds. These revised equations can be used to solve numerical problems. Eqvv_ 0-gt eq eqsv_ 0t-frac 1 2gt 2 eq eqv.
T is the time duration of a free fall. The free-fall motion formula covers the following equations for a falling body. The distance fallen after a time of t seconds is given by the formula.
Find the free fall distance using the equation s 12gt² 05 980665 8² 3138 m. The formula for the time of free fall is. The Free Fall Velocity at Impact calculator computes the final velocity of an object after a free fall based on the height and the acceleration due to gravity.
How to determine its height. After two seconds it will have fallen 12 98 2 2 196 m. In space when the propulsion is off then the spacecraft first.
If the object is thrown with an initial velocity the equation is v v 0 g t and v 0 is the initial velocity. It has the value of. Hence it is given as.
V Velocity of iron gt 98 ms 2 5s 49 ms. V 2 2gh and. Now if we want to know the final free fall velocity using the formula V V0 g t 0 980665 15 14710 ms check with the free fall calculator.
The formula for the time of free fall is. Maximum height formula free fall. When a body is dropped from a certain height h.
Shows how to used free fall kinematics to solve for the time it takes an object to fall through a known heightYou can link to all my videos from my website. Free Fall Equations of Motion are specified below. The free velocity formula is.
H 12 gt 2.
Physics Kinematics Free Fall 12 Of 12 Maximum Height Youtube
Notes On Motion Vi Free Fall A Special Type Of Uniform Acceleration Ppt Download
Free Fall With Air Resistance Time And Velocity Calculator High Accuracy Calculation
Free Fall 2 Body Solved Numerical Gravity Physics Khan Academy Youtube
Free Fall Kinematics Homework Helpers Physics
Free Fall 1 Body Solved Example Video Khan Academy
Free Fall Distance And Velocity Calculator High Accuracy Calculation
Notes On Motion Vi Free Fall A Special Type Of Uniform Acceleration Ppt Download
Different Equations Of Motion For Free Falling Object Teachoo
Physics 2 Motion In One Dimension 16 Of 22 Free Fall Ex 3 Finding Velocity And Time Youtube
Calculating A Ratio In Free Fall Motion Physics Forums
Solved 1 If An Object Is Dropped From A Height What Chegg Com
Different Equations Of Motion For Free Falling Object Teachoo
Beginner Free Fall Motion Problem Physics Forums
Physics Kinematics Free Fall 5 Of 12 Solving For Displacement Distance Fallen Youtube


